| Fenomeni di trasporto-Analisi del flusso di massa di Radon in una matrice porosa |
| News Radon | |||
|
1) un termine viscoso di tipo "Poiseuille", dovuto ad un gradiente di pressione,
dove nRn è il flusso massico di Radon [kg/m2/s], ρRn è la densità del Radon, k è la permeabilità intrinseca, kr,g è la permeabilità relativa della miscela gassosa, μg è la viscosità del gas, Pg è la pressione della fase gassosa. 2) un termine diffusivo descritto dalla legge di Fick; esso tiene conto, tramite la diffusività effettiva, della presenza della matrice porosa, la quale disturba la diffusione del Radon (relativamente alle collisioni intermolecolari); il flusso di massa relativo alla velocità media ponderale è dato da:
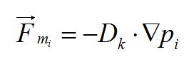
dove ωRn rappresenta la frazione massica del Radon nella miscela di gas e DRneff è la diffusività aria-Radon nella matrice porosa. 3) un termine diffusivo di tipo "Knudsen"; in questo caso il movimento delle molecole è dovuto, principalmente, alla collisione con la struttura porosa e non sono presenti impatti intermolecolari; per questa ragione, il flusso massico gassoso Fm della specie i si può scrivere:
dove pi è la pressione parziale della specie i e Dk è la diffusività di tipo Knudsen.
Per valutare quale tra questi tre meccanismi di trasferimento interviene nel caso in esame è necessario determinare il numero di Knudsen Kn: dove λm è il cammino libero medio delle molecole e dporo rappresenta il diametro medio dei pori. E' possibile dare una interpretazione fisica del numero di Knudsen come il rapporto tra il numero di collisioni gas-solido e quello gas-gas. Il cammino libero medio, rappresenta la distanza media percorsa da una particella fra due urti successivi ed è pari al rapporto tra vm (la velocità media) e Z (la frequenza collisionale). Si può anche esprimere correlato al numero di particelle per unità di volume n ed al diametro di collisione Sigma (uguale al doppio del raggio della particella):
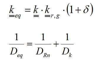
A seconda del valore del numero di Knudsen è possibile individuare tre regimi di trasferimento di massa: a) Kn<<1; in questo caso il cammino libero medio è molto piccolo rispetto alle dimensioni dei pori, quindi, le interazioni tra gas e parete sono trascurabili (è trascurabile il termine "tipo Knudsen"). Di conseguenza l'equazione di trasporto è descritta da un termine "tipo Poiseuille", in cui compare il gradiente di pressione, e da un termine "tipo Fick" in cui compare il gradiente di concentrazione. Si possono quindi combinare i flussi viscosi e diffusivi per il Radon nelle relazioni: dove ρRn, ρair e ρg sono rispettivamente la densità del Radon, dell'aria e della miscela gassosa, k è la permeabilità intrinseca, kr,g è la permeabilità relativa della miscela gassosa, μg è la viscosità del gas, Pg è la pressione del gas, Cg è la densità molare della miscela gassosa, MRn e Mair sono i pesi molecolari del Radon e dell'aria, Dgeff è la diffusività effettiva del gas, ovvero del Radon in aria, xRn e xair sono le frazioni molari del Radon e dell'aria. b) Kn>>1; in questo caso il cammino libero medio delle molecole è maggiore delle dimensioni dei pori; quindi, sono trascurabili le interazioni intermolecolari ed i fenomeni viscosi. E' da prendere in considerazione solo il termine diffusivo di "tipo Knudsen". Per calcolare la diffusività di Knudsen, in letteratura, è molto utilizzata la relazione: dove R è la costante universale dei gas perfetti, Tg rappresenta la temperatura del gas e Mg è il peso molecolare della miscela gassosa. c) Kn≈1; questo è il caso intermedio tra i due precedenti, è necessario, quindi, considerare tutti e tre i meccanismi insieme. E' opportuno, a tal proposito, definire una diffusività e una permeabilità equivalente per far rientrare più facilmente in una unica equazione il meccanismo di "tipo Knudsen": dove δ è un coefficiente sperimentale e DRn è la diffusività aria-Radon. Con questi termini dimensionali è possibile scrivere l'equazione che esprime il flusso massico di Radon in aria:
Ad esempio, nel caso di una matrice porosa di malta di cemento che abbia pori di 30 micrometri (3 *10-5 m) di diametro, fissando una concentrazione di atomi di Radon per m3, essendo il Radon caratterizzato da un raggio di 220 pm (picometri) = 2,2* 10-10 m, ovvero un diametro pari a 4,4* 10-10 m, si otterrebbe che il cammino libero medio è pari a: ovvero ipotizzando una concentrazione di 1*1018 atomi di Radon per m3 si avrebbe un cammino medio pari a = 1 / (1,414 * 3.14 * (4,4* 10-10 )2 * 1*1018) = 16,16 m. Il numero di Knudsen sarebbe pari a = 1,16/0,00003 = 38778, ovvero Kn>>1. L'equazione di trasporto conterrebbe quindi solo il termine "Knudsen". Invece, ipotizzando una concentrazione di 1*1022 atomi di Radon per m3 si avrebbe un cammino medio pari a = 1 / (1,414 * 3.14 * (4,4* 10-10 )2 * 1*1022) = 0,000116336 m. Il numero di Knudsen sarebbe pari a = 0,000116336/0,00003 = 3,8, ovvero Kn≈1. L'equazione di trasporto conterrebbe quindi tutti e tre i meccanismi di trasporto "Poiseuille", "Fick" e "Knudsen". Infine, ipotizzando una concentrazione di 1 numero di Avogadro di atomi 6*1023 atomi per m3 si avrebbe un cammino medio pari a = 1 / (1,414 * 3.14 * (4,4* 10-10 )2 * 6*1023) = 1*10-6 m. Il numero di Knudsen sarebbe pari a = 1*10-6/0,00003 = 0,06 ovvero Kn<<1. L'equazione di trasporto conterrebbe quindi solo i meccanismi di trasporto "Poiseuille" e "Fick". Per fornire un termine di paragone, si consideri che il numero di Avogadro è pari al numero di atomi necessario a formare una massa pari numericamente al peso atomico in grammi. Ovvero 1 numero di Avogadro di Radon in un m3 equivale a 222 g/m3. Dato che l'aria a 15°C e 1013 hPa ha una densità di circa 1225 g/m3, si può desumere che 1 numero di Avogadro di Radon in 1 m3 di aria sia una entità rilevante (circa il 15% in peso). Da questo esempio appare chiaro che per effettuare una analisi del flusso di massa di gas Radon attraverso uno strato di intonaco risulta fondamentale conoscere le concentrazioni presenti, poichè il comportamento risulta differente a seconda dell'entità della contaminazione.
|
|||
| Ultimo aggiornamento Giovedì 08 Novembre 2018 13:07 |



Per determinare il quantitativo di gas Radon che passa attraverso uno strato di muratura o di intonaco, è necessario utilizzare le equazioni caratterizzanti il trasporto della fase gassosa in un mezzo poroso.

